010-64919358
中文  |  English
北京lewin乐玩发酵罐 > 中文版 > 产品资讯 > 生物反应器 >
深挖「生物反应器」,从根本了解它 时间:2024.01.12
生物反应器是生物工程领域中一种非常重要的设备,它能够利用生物体内的生化反应来生产化学品、药物、酶和其他生物制品。作为生物技术的重要工具,生物反应器的组成部件及结构对于其性能和效率起着至关重要的作用。下面我们将深入了解生物反应器的组成结构、工作原理以及参数的控制方法。
 

一、生物反应器的组成结构

一般常见的机械搅拌式反应器的结构为容器、挡板、搅拌器、空气分布装置、轴封、传动装置、换热装置、消泡装置等。
机械生物反应器的结构
其中,容器是生物反应器的主体,用于容纳生物体、培养基和反应所需的条件。搅拌器则用于保持培养基的均匀悬浮状态,促进生物体和培养基之间的充分接触。

温度控制装置能够确保反应器内部的温度始终保持在适宜范围内,以满足生物体的生长和反应的需要。进料口和出料口用于添加培养基和收集反应产物,而气体进出口则用于控制反应器内的氧气和二氧化碳浓度。传感器和控制系统则能够实时监测和调节反应器内部的参数,保证反应的稳定进行。
 

二、生物反应器的原理

而接下来要谈的就是生物反应器的原理了,这涉及反应、传质、能量转换等多个方面。

1.生物反应器的反应主要基于提供一个适宜的生物体外环境,以促进生物体系的生长、代谢和产物的生成。在反应器中,生物体系通常包括微生物、细胞培养物或酶等,它们在适宜的培养基中进行代谢活动,通过搅拌装置保持充分的氧气传递和养分的均匀分布。同时,通过温控装置和pH调节系统,维持反应器内部的恒定温度和酸碱度,为生物体系提供一个稳定的生长环境。

2.传质是指底物与产物在反应器内传输的过程,包括传质阻力与速率。传质阻力会影响到反应速率、底物利用率和产物浓度,这种阻力一般来自于底物和产物在反应中的扩散阻力、溶解性及质量转移阻力。传质速率则会受搅拌速度、温度、底物浓度等各种因素的影响。
氧从气泡到细胞中传递过程示意图
 
3.能量转换涉及反应时的吸热和放热反应。吸热反应会让生物体通过吸收外界热能来提供代谢所需能量,促进生长和代谢。放热反应时反应物在代谢中释放热能,这些热能作为反应中的热能需求。
 
那么该如何控制反应器的正常反应呢?
1.提供适当的底物:生物反应器通过提供适当的底物,保障生物体生长与代谢。这些底物可以是有机物、无机盐等,具体根据生物体的需求进行选择。
底物消耗的质量衡算图
 
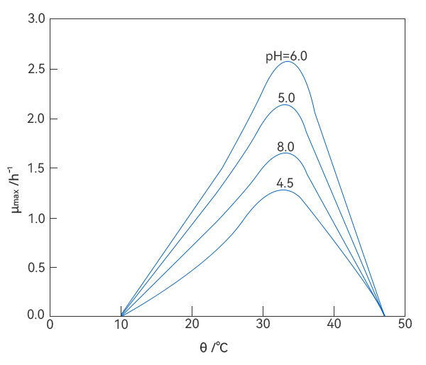
2.控制环境条件:生物反应器通过控制环境条件,使其形成适宜生物体生长和代谢的环境。通过调节温度、pH、氧气浓度和营养物质浓度等手段,来满足生物体的需要。
温度对大肠杆菌K12比生长速率的影响
pH对溶纤维丁酸弧菌比生长速率的影响
 
3.保持混合与氧传递:生物反应器采用搅拌通气等方法,让反应物和生物体均匀混合,从而增强传质效率。对于需氧生物体,还要提供充足的氧气,来满足生物呼吸的需要。
 
4.控制产出和副产物:生物反应器通过控制反应过程中的参数(如温度、pH值、营养物质浓度等),来控制产出物的生成和副产物的产生。优化这些参数可有效提高产物的产率和选择性。
 
5.监测和调控:生物反应器一般配有传感器装置,用以监测反应中的温度、pH值、氧气浓度及生物体密度等重要参数。根据传感器的反馈信号进行调控,使其保持在最佳工况。
 
总之,生物反应器通过对培养基、实验环境条件等精准控制,可以实现生物体系的高效生长和产物的大规模生产,为生物工程和生物制药领域的发展提供了重要支持。

 

上一篇: 上一篇:从发酵罐到生物反应器,哪一款更适合你的需求? 下一篇: 下一篇:走进实验室:「生物反应器」的参数秘密
您现在阅读的文章是:深挖「生物反应器」,从根本了解它。
网站介绍:本站是北京lewin乐玩企业网站,国产高端品牌 HOLVES主打产品发酵罐喷雾干燥机切向流超滤系统,HOLVESlewin乐玩发酵罐设备制作精良,采用先进的模块设计,欢迎您垂询。
HOLVES提供不同类型的发酵罐知识、技术文章,例如:发酵罐发展历史发酵罐日常保养。在发酵罐产品更新方面,最新的新生代实验室玻璃发酵罐,能满足更多用户的需求。
联系lewin乐玩 电话:010-64919358传真:010-64919358-805邮箱:www.lewin.com地址:北京市朝阳区常营未来时大厦4F

Copyright © 北京lewin乐玩 京ICP备12048025号-4  安全联盟实名认证   本站由阿里云提供计算与安全服务
010-64919358